ברוח התקופה ההנפקה הרביעית של השנה בבורסה בת״א הינה של קבוצת TSG(טי.אס.ג׳י) שמרבית פעילותה הינו מול המגזר הבטחוני(כ-70% מההכנסות).
היום נערך המכרז הציבורי לאחר שהחברה השלימה אמש גיוס של כ-60 מיליון שקלים במכרז המוסדי לפי שווי של כ-400 מיליון שקלים(לפני הכסף).
לציבור מוצעים 110 יחידות בשווי כספי של כ-2 מיליון שקלים בחבילה הכוללת 100 מניות במחיר של 18,325₪(משקף 183.25₪ למניה) כאשר כל מזמין יחיד רשאי להזמין עד 16 יחידות.
קבוצת TSG נמצאת בשליטת התעשייה האווירית ופורמולה מערכות שהחזיקו 50% מההון ערב ההנפקה.
לפי מצגת שפורסמה לקראת ההנפקה החברה הציגה הכנסות של 295 מיליון שקלים EBITDA של 47 מיליון שקלים ורווח תפעולי של 28 מיליון שקלים בשנת 2023.
את ההנפקה מובילה חברת החיתום אקטיב של עומרי לוי ונותר לאחל בהצלחה לחברה החדשה המצטרפת לבורסה ולעוסקים במלאכה.
*אין לראות בנכתב המלצה או תחליף ליעוץ.
https://mayafiles.tase.co.il/rpdf/1608001-1609000/P1608161-00.pdf
הנפקה פרטית נוספת שדווחה היום לבורסה הינה במניית טקטונה הפועלת בתחום המטבעות הדיגיטליים.
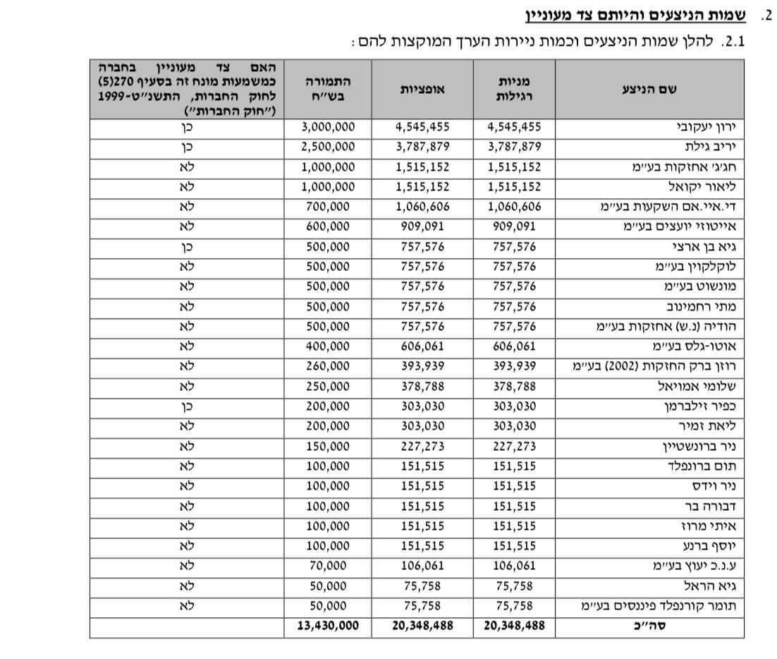
לפי הדיווח הבוקר החברה מגייסת כ-13.4 מיליון שקלים בהנפקה פרטית(חסומה) לפי 66 אגורות למניה פלוס כתב אופציה(לא סחיר) הניתן למימוש למניות החברה לפי 1.09₪ במשך שנתיים.
בהנפקה משתתפים 25 משקיעים בהם מספר דמויות בולטות בשוק ההון הישראלי:ירון יעקובי שצפוי להשקיע 3 מיליון שקלים ולעלות להחזקה של כ-11.1%,יריב גילת ששומר על חלקו בהון ומזרים 2.5 מיליון שקלים,האחים חג׳ג׳ שצפויים להשקיע מיליון שקלים,ברק רוזן מבעלי ישראל קנדה שצפוי להשקיע 260 אלף שקלים ועוד דמויות בולטות נוספות.
מניית טקטונה נסחרת בעליות של כ-17% לאחר פרסום הדיווח.
מקור:דיווח לבורסה.

